By Baicheng Wen, Roll-Kraft Ohio, U.S.A.
High-strength materials (such as HSLA steel) have many advantages over general strength, or standard, materials (such as 1040 carbon steel) and are widely used for structural components in various industries. As a result of the increased strength (on a pound-per-pound basis) compared to standard materials, high-strength materials offer the advantage of material savings when fabricating a particular structural component. Less material is needed and the finished part is lighter than components made from a standard material. This weight savings is critical in many industries, particularly the automotive industry. Forming high-strength materials, however, is a challenge to the roll former, as well as the tooling designer. Compared to standard materials, high strength materials have higher yield strengths and are less ductile. These two properties can present some difficulties in the forming process. In addition, forming a structural component with a reduced gage thickness to achieve material savings can complicate the matter even further. In order for the roll former to identify the mill capability of forming high-strength materials and to choose the right material to be formed, it is imperative that the effects of the mechanical properties on the deformation of strip during the forming process be understood. Such an understanding will also help the tooling engineer to design the proper tooling.
1.0 Material Deformation in Bending
During a typical roll forming process, the major types of deformation that occur are transverse bending and lateral deformation, although some unwanted longitudinal deformation is induced. In order to understand the material deformation in this type of forming process, a pure bending process, such as press brake forming, was examined. The strain and stress at a bending corner (assuming that material has the same strain-stress relationship under both tension and compression) is illustrated in Figure 1(a). Stresses at both the inner and outer fibers of the material exceed the yield stress, producing permanent deformation (also called plastic deformation), as illustrated by the light crosshatch pattern.

This permanent deformation holds the material strip in the shape to be formed. In the center range near the neutral axis, however, the stress is below the yield stress and the material remains elastic (shown by the heavier cross-hatch pattern). After the bending tooling is removed, the elastic deformation is released, allowing the material strip to recover from the formed shape. This recovery of deformation is known as springback. The amount of springback depends on the amount of elastic deformation relative to the total deformation (elastic deformation plus plastic deformation). The elastic deformation produced during the bending process is controlled by the mechanical properties of the material, namely, Young’s modulus and yield strength. For all intents and purposes, Young’s modulus is the same for both high-strength and standard steels; therefore, the amount of elastic deformation is determined by the yield strength. High-yield steels produce more elastic deformation for a given total bending compared to low-yield steels. As a result, high-yield steels have more springback than low-yield steels. The relative amount of elastic deformation in a formed part also depends on the size (such as gage thickness) of the part being formed. For a material with a given yield strength and centerline radius, the total amount of deformation during the bending process decreases as the material gage thickness decreases. The amount of permanent deformation also decreases since the amount of elastic deformation remains the same. The relative amount of elastic deformation, however, increases. As a result, the amount of springback increases.
2.0 Estimation of Springback Angle
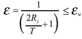
As discussed above, the amount of springback depends on the stress level to which the material is subjected during forming and the mechanical properties of that material (Young’s modulus and yield strength). Based on these observations, the following empirical formula has been developed to estimate the amount of springback resulting from the press brake forming process.
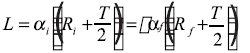
where Ri and Rf are initial inner radius and final inner radius after springback, respectively; Y is yield stress (or yield strength); E is Young’s modulus and T is the material gage thickness. Consider a forming corner with an arc length, L. The forming radius has the following relationship with the forming angle:
where αi and αf are the initial bending angle and final bending angle, respectively. From this relationship, springback angle can be calculated by the following equation:
Neglecting the effect of small longitudinal deformation, the springback angle for roll forming can be calculated for a high-strength material with a given Young’s modulus and yield strength, radius-to-gage thickness ratio and initial forming angle using these above formulas. Figure 2 is a graph illustrating the relationship between springback angle and yield strength for 90° bending. Calculated springback angles are plotted for three separate radius-to-gage thickness ratios (R/T) over a range of yield strengths (20 to 220 ksi). These plots show that the springback angle increases as the material yield strength increases.
The springback angle is approximately 8° when the yield strength is over 200 ksi and the R/T ratio is 5. For the same yield strength, the springback angle increases (10°) as the R/T ratio increases (6). To further illustrate this point, Figure 3 is a plot of springback angles vs. gagen to radius (R/T) ratios for two separate yield strengths. As the material gage decreases (R/T increases), springback angle increases. It should be noted that yield strength increases as a result of the forming process due to work hardening of the material. In addition, the neutral axis shifts as local deformation increases attending corner. These changes can affect the calculated springback angle. Keep in mind that the formulas presented in this paper were developed based on a pure bending process from press brake forming. Roll forming is far more complex than pure bending and, as such, the numbers calculated using these formulas for roll forming applications are only estimates.
3.0 Minimum Corner Radius
As described in the section 2.0, both the inner and outer fibers at the bending corner are deformed by the same amount. Theoretically, the strains at these fibers can be calculated using the following equation:
For a given material thickness, the strain increases as the forming radius decreases. After a permissible strain is reached, the material can crack. The radius, R, at which a crack appears on the outer surface of the bending corner is called the minimum bending radius, and is often expressed in terms of material thickness. Two failure conditions can be used to determine the minimum bending radius. One is defined as the absolute limit of actual fracture of the material. It is related to the area reduction measured in the tensile testing. The other is defined as localized necking. This condition results from material weakening at the bending corner when elongation in the outer surface exceeds the uniform elongation of material, εu. It is expressed in the following equations

|
then,
|

|
It should be noted that higher strains are usually permissible, since the strain is redistributed in the deformation area. Figure 4 shows the estimated minimum corner radius for uniform elongation ranging from 10% to 50%. It can be seen that a 20% uniform elongation allows a 2T minimum corner bending radius.
4.0 Conventional Radius for Steels with High-Yield Strength
Determining the minimum forming radius is not limited by material failure criteria alone. The forces generated during the forming process also influence the forming radius. As discussed in section 1.0, stresses near the inner and outer surfaces increase when material yield strength increases for the same thickness and same bending angle. This stress increase requires an increase of the bending force; however, forming mills are designed with a specific power output at each pass. Increasing the bending forces (power output) at the forming passes can cause forming problems, such as marking and tooling wear, which can affect the overall quality of the parts formed.
For conventional forming of high-strength steels, data of minimum bending radii has been collected for the higher forming forces required for the referenced forming cases {1,2}. Table 1 is a summary of the recommended bending radii for conventional forming of high-strength steels.
5.0 Discussions
High springback, limits on the minimum bending radius, and high forming forces are only some of the many concerns that must be addressed when forming high-strength materials. There is also a tendency for several forming problems to occur. These include edge waving, twisting, and end flaring. The techniques to eliminate these forming problems should be considered and incorporated in the tooling design. In addition, the roll former and tooling engineer should work together to identify the specific requirements for forming mills that will be used to form high-strength materials. This will ensure the production of high-quality tooling and finished parts. Generally, most roll formers prefer to use the same number of passes to form high-strength materials as are used to form standard
materials. All too often, though, forming difficulties and forming problems are encountered. Understanding the limit and effect in forming high-strength materials helps both roll former and tooling engineer in selecting right tooling design to reduce tooling cost and to produce high-quality tooling and formed products.
6.0 References
1) Roll Forming Systems for Heavy Gauge High-Tensile Steels; The Yoder Company; Precision Metal, October, 1977; pp 31-36
2) A Look at the Data Collection and Flower Design Stages; H. Li; The Fabricator, April, 1998; pp 29-37